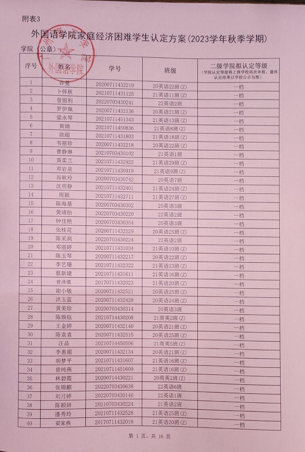
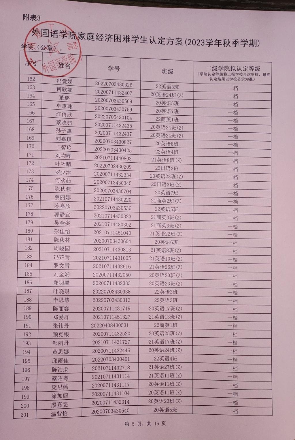
122cc太阳集成游戏2023-2024学年家庭经济困难学生认定初审结果公示
发布时间:2023-09-25
为全面了解和掌握学校家庭经济困难学生的基本情况,公平、公正、合理地分配资助资源,切实保证各项资助政策和措施真正落实到家庭经济困难学生身上,根据上级相关文件精神,经学生本人申请以及班级、学院评审小组评定,现将我院2023-2024学年家庭经济困难学生认定初审结果进行公示,公示时间为2023年9月25日至2023年9月29日。
此名单中的贫困等级仅是学院初审拟定结果,最终贫困等级结果以学校审核上报全国学生资助信息系统后由系统判定的贫困等级为准。
如对公示有异议,请在公示期内向各辅导员老师反馈,公示期后,不再改动。
办公地点:7栋326、7栋327。

















